
港中评社11月6日电(作者汪毅夫)
台湾地区最有代表性的文化人类学家李亦园教授生前尝谓:以林惠祥教授为代表的文化人类学是厦门大学最重要的文科学术传统之一。
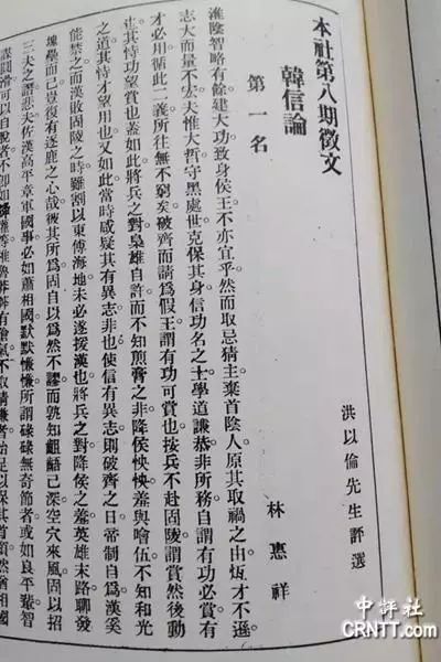
林惠祥教授是台湾台北人,从小生长在福建。他自述曾在福州“朝夕勤读,继二年,至十八岁,中英文果有中学毕业之程度。中文尤颇能写作,曾翻译英文小说为玉梨魂派之中文。时台湾遗老尝组织一文会,出题征文。题为《韩信论》,余亦用当时流行之史论体作一篇,约千字寄去应征,被选为首名,闻曾刊登新闻云。余以此益自负,常着一领旧长衫,往福州城内旧书肆,选购旧板古诗文集”。


我在2006年查明并报告,林惠祥教授的“史论”处女作《韩信论》乃发表于《台湾文艺丛志》第八号(1919年8月1日发行)之《本社第八期征文》。林惠祥教授的《韩信论》“被选为首名”,评选人洪以伦先生的评语是:“以淮阴侯之骄蹇不驯为袭战国之旧习。煞有见地,笔亦不落恒蹊。是不从时文中讨生活者。洪以伦拜读”。
处女作在台湾发表、“被列为首名”、并得“台湾遗老”好评,青年林惠祥“以此益自负”,走上了学者之路。1926年,林惠祥从厦门大学历史社会学系毕业,是该系该届唯一的毕业生,他的毕业证书编号为厦大毕业证书第壹号。是唯一、是第一,不是之一。牛!
【来源:中国台湾网】